![[list:title]](/static/upload/image/20211111/1636627350980651.jpg)
![[list:title]](/static/upload/image/20211111/1636627350538656.jpg)
羥乙基纖維素 (HEC)
產品簡介
羥乙基纖維素是以天然高分子材料纖維素為原料,經一系列化學加工而制得的非離子型水溶性聚合物,是一種微黃色或白色、無嗅、無味的粉狀固體物質。

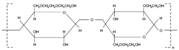
圖1 羥乙基纖維素的理想結構

注:粘度均采用Brookfield粘度計,25℃、LV型測定。
產品命名規則

應用性能
1.增稠效率高,具有廣泛的粘度品級可供選擇,可以獲得任何所需的增稠效率
2.良好的相容性,可與大多數無機鹽以及種類廣泛的樹膠和樹脂相溶
3.抗生物降解HEC產品具有極佳的穩定性,保證涂料儲存過
4. 良好的保護膠體活性,防止涂料中的固體粒子凝結
5.不溶物質含量少,水溶液清澈透明
6.粘度再現性穩定
7.高純度、低水分、低灰分
抗生物降解性能
HEC在酶作用下會發生降解,使粘度降低。使用優異的具有抗生物降解特性的HEC,會使粘度損失降至最低。

溶液特性
從最初的濕潤至開始形成粘度稱為HEC的水合時間。水合時間可被改變以滿足特定的需要。其典型范圍為4~25分鐘,水合時間將受到pH值顯著影響。

溶液特性
在工業應用的實際條件下,要達到一定粘度所需使用的HEC用量時,剪切率是一個重要的考慮因素。一般來說,剪切率越高,粘度越低。

溶液特性
HEC最重要的性能是作為增稠劑,可以增加液體的粘度,而它的增稠性取決于它的濃度(如下圖所示)。此外,不同粘度等級對增稠性的影響也可以清楚看見,在其他參數不變的情況下,HEC粘度隨粘度等級增加而增加。

產品應用
膠乳的合成和水基涂料的配制
HEC在乳化涂料的組分中,可防止顏料的凝膠化,有助于顏料的分散,膠乳的穩定,并可提高組分的粘度。HEC與組分中的其他材料(如顏料、助劑、填料及鹽類)具有較好的相容性。用HEC增稠的涂料在各種剪切速率下具有良好的流變性,并具有假塑性。可采有刷涂、輥涂、噴涂等施工方法。施工性好,不易滴落、流掛和飛濺,流平性也較好。
石油鉆采
在石油鉆采方面,高粘度HEC主要用作完井液和整理液的增粘劑。低粘度HEC用作降濾失劑。在鉆井、完井、固井和壓裂操作所需的各種操作液中,HEC作為增稠劑使泥漿獲得良好的流動性和穩定性。鉆井中可提高泥漿攜巖屑能力,延長鉆頭的使用壽命。在低固相鉆井、完井液中,HEC優良的降失水性能可防止大量水份從操作液中滲入井壁,可提高井壁穩定能力。
建筑
HEC可用于建筑產品如混凝土拌合物、新拌的砂漿、石膏灰泥或其他膠泥等,在它們凝結硬化前的施工過程中起到保水的作用。HEC除了提高建筑產品的保水性外,還可以延長灰泥或膠泥的改正和開放時間。能減少結皮、滑移和流掛現象。
日用化工
HEC在洗發劑、頭發噴霧劑、中和劑、護發劑及化妝品中是一種有效的粘合劑、增稠劑、穩定劑和分散劑;在洗滌粉劑中是一種污物抗沉積劑。
高分子聚合
HEC在合成樹脂的聚合或共聚組分中有分散、乳化、懸浮和穩定作用,可作為保護膠體之用。其特點是分散能力強,所得產品的顆粒“皮膜”較薄,粒度細、粒形均勻,呈疏松型,流動性好,產品透明度高、易于加工等。
其他
HEC其他用途包括造紙、紡織、乳膠添加劑和墻紙糊中。HEC應用于農藥乳液和懸浮液配方中,作為噴霧乳液或懸浮液的增稠劑。HEC也可用作清潔劑、上光劑、電鍍、油墨、殺蟲劑、鉛筆耐火材料、陶瓷、墊子的襯墊、煙草、焊藥和焊劑。HEC也用作阻水粉劑以防止水分滲透到電纜中。
包裝形式
包裝采用內層聚乙烯塑料薄膜袋,外層三合一復合紙袋或紙桶;每袋凈重25±0.25kg
儲運注意事項
運輸過程中注意防雨、防曬、防鉤。
貯藏時放置于通風干燥處,注意防潮、勿與其它化學品混放。
本品易在潮濕空氣中吸收水分,開包后,若未使用完,必須再度密閉包裝并置于干燥處